Halmahera Timur
Halmahera Timur Berbenah Menuju Transformasi Kemajuan

Virus Corona

UPDATE Sebaran Virus Corona Indonesia Kamis (22/10/2020): DKI Catat 989 Kasus Positif, 1.159 Sembuh

Berikut update sebaran kasus virus corona (Covid-19) di Indonesia per Kamis (22/10/2020).

covid19.go.id
Update Corona Indonesia, Kamis (22/10/2020) 

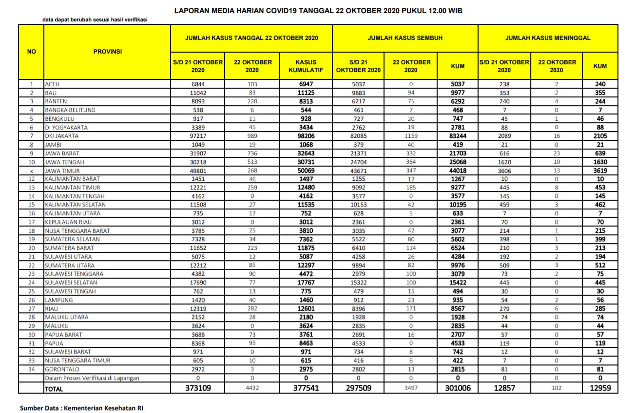
32. Sulawesi Tengah
Kasus Baru: 13 orang
Sembuh: 494 orang
Meninggal Dunia: 30 orang
Terkonfirmasi: 775 orang

33. Nusa Tenggara Timur
Kasus baru: 10 orang
Sembuh: 422 orang
Meninggal Dunia: 7 orang
Terkonfirmasi: 615 orang

34. Kepulauan Bangka Belitung
Kasus Baru: 6 orang
Sembuh: 468 orang
Meninggal Dunia: 7 orang
Terkonfirmasi: 544 orang

Data kasus corona
Data kasus corona (Twitter @BNPB_Indonesia)

Kesimpulan data pasien virus corona (Covid-19) di Indonesia per Kamis (22/10/2020):

Jumlah Kasus:
Rabu, 21 Oktober 2020: 373.109 kasus
Kamis, 22 Oktober 2020: 4.432 kasus
Total : 377.541 kasus

Jumlah Pasien Sembuh:
Rabu, 21 Oktober 2020: 297.509 kasus
Kamis, 22 Oktober 2020: 3.497 kasus
Total : 301.006 kasus

Jumlah Pasien Meninggal Dunia:
Rabu, 21 Oktober 2020: 12.857 kasus
Kamis, 22 Oktober 2020: 102 kasus
Total : 12.959 kasus

(TribunTernate.com)

Sumber: Tribun Ternate
Halaman 4 dari 4
Rekomendasi untuk Anda
Ikuti kami di
AA

Berita Terkini

© 2025 TRIBUNnews.com Network,a subsidiary of KG Media.
All Right Reserved