Halmahera Timur
Halmahera Timur Berbenah Menuju Transformasi Kemajuan

Virus Corona

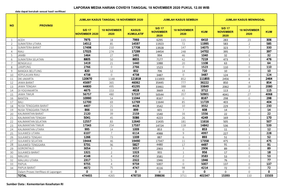
UPDATE Sebaran Virus Corona Indonesia Rabu (18/11/2020): DKI Catat 1.148 Kasus Baru & 852 Sembuh

Berikut update sebaran kasus virus corona (Covid-19) di Indonesia per Rabu (18/11/2020).

Shutterstock/Petovarga
Ilustrasi virus corona (covid-19). 

32. Kalimantan Utara
Kasus baru: 14 orang
Sembuh: 853 orang
Meninggal Dunia: 12 orang
Terkonfirmasi: 1.009 orang

33. Nusa Tenggara Timur
Kasus baru: 33 orang
Sembuh: 608 orang
Meninggal Dunia: 14 orang
Terkonfirmasi: 899 orang

34. Kepulauan Bangka Belitung
Kasus Baru: 12 orang
Sembuh: 720 orang
Meninggal Dunia: 10 orang
Terkonfirmasi: 832 orang

Data kasus corona
Data kasus corona (Kementerian Kesehatan RI)

Kesimpulan data pasien virus corona (Covid-19) di Indonesia per Rabu (18/11/2020):

Jumlah Kasus:
Selasa, 17 November 2020: 474.455 kasus
Rabu, 18 November 2020: 4.265 kasus
Total : 478.720 kasus

Jumlah Pasien Sembuh:
Selasa, 17 November 2020: 398.636 kasus
Rabu, 18 November 2020: 3.711 kasus
Total : 402.347 kasus

Jumlah Pasien Meninggal Dunia:
Selasa, 17 November 2020: 15.393 kasus
Rabu, 18 November 2020: 110 kasus
Total : 15.503 kasus

(TribunTernate.com)

Sumber: Tribun Ternate
Halaman 4 dari 4
Rekomendasi untuk Anda
Ikuti kami di

Berita Terkini

© 2025 TRIBUNnews.com Network,a subsidiary of KG Media.
All Right Reserved