Virus Corona
UPDATE Sebaran Virus Corona Indonesia Minggu (2/8/2020): 4 Provinsi Catat Lebih dari 100 Kasus Baru
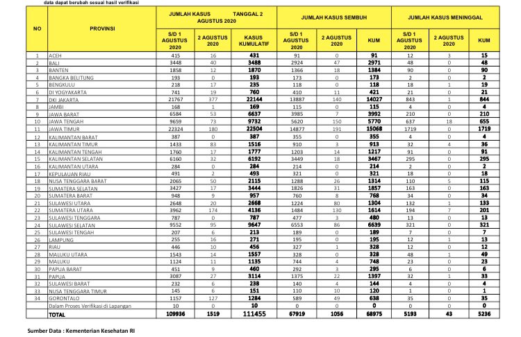
Berdasarkan laporan data pada akun Twitter @BNPB_Indonesia, Minggu (2/8/2020) sore, tercatat ada 1.519 kasus baru.
32. Kepulauan Bangka Belitung
Kasus Baru: - orang
Sembuh: 173 orang
Meninggal Dunia: 2 orang
Terkonfirmasi: 193 orang
33. Jambi
Kasus Baru: 1 orang
Sembuh: 115 orang
Meninggal Dunia: 4 orang
Terkonfirmasi: 169 orang
34. Nusa Tenggara Timur
Kasus baru: 6 orang
Sembuh: 120 orang
Meninggal Dunia: 1 orang
Terkonfirmasi: 151 orang
Kesimpulan data pasien virus corona (Covid-19) di Indonesia per Minggu (2/8/2020):
Jumlah Kasus:
Sabtu, 1 Agustus 2020: 109.936 kasus
Minggu, 2 Agustus 2020: 1.519 kasus
Total : 111.455 kasus
Jumlah Pasien Sembuh:
Sabtu, 1 Agustus 2020: 67.919 kasus
Minggu, 2 Agustus 2020: 1.056 kasus
Total : 68.975 kasus
Jumlah Pasien Meninggal Dunia:
Sabtu, 1 Agustus 2020: 5.193 kasus
Minggu, 2 Agustus 2020: 43 kasus
Total : 5.236 kasus
(TribunTernate.com)
:quality(30):format(webp):focal(0.5x0.5:0.5x0.5)/ternate/foto/bank/originals/data-kasus-corona-di-indonesia-minggu-282020.jpg)