Halmahera Timur
Halmahera Timur Berbenah Menuju Transformasi Kemajuan

Virus Corona

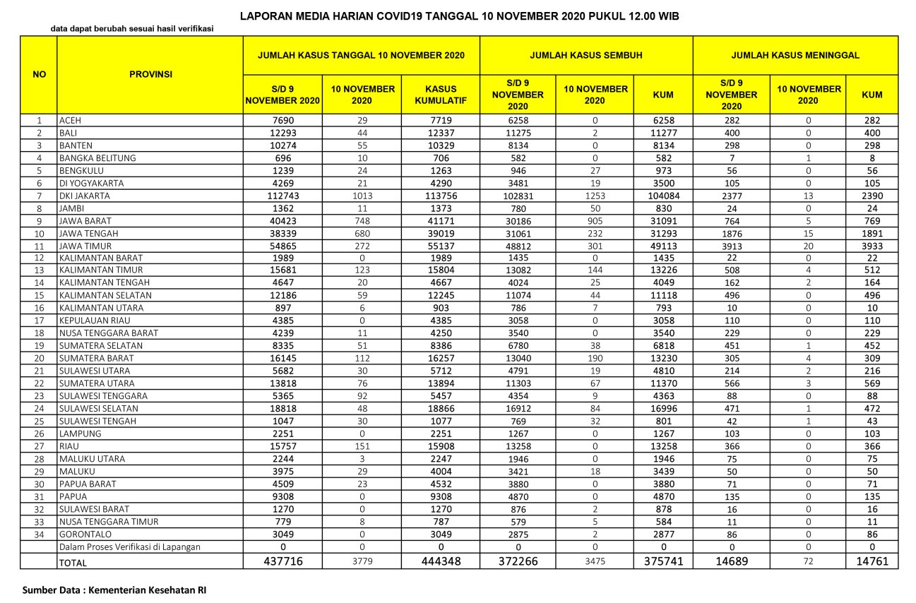
UPDATE Sebaran Virus Corona Indonesia Selasa (10/11/2020): DKI Catat 1.013 Kasus Baru & 1.253 Sembuh

Berikut update sebaran kasus virus corona (Covid-19) di Indonesia per Selasa (10/11/2020).

covid19.go.id
Update kasus corona di Indonesia, Selasa (10/11/2020). 

32. Kalimantan Utara
Kasus baru: 6 orang
Sembuh: 793 orang
Meninggal Dunia: 10 orang
Terkonfirmasi: 903 orang

33. Nusa Tenggara Timur
Kasus baru: 8 orang
Sembuh: 584 orang
Meninggal Dunia: 11 orang
Terkonfirmasi: 787 orang

34. Kepulauan Bangka Belitung
Kasus Baru: 10 orang
Sembuh: 582 orang
Meninggal Dunia: 8 orang
Terkonfirmasi: 706 orang

Data kasus corona
Data kasus corona (Kementerian Kesehatan RI)

Kesimpulan data pasien virus corona (Covid-19) di Indonesia per Selasa (10/11/2020):

Jumlah Kasus:
Senin, 9 November 2020: 440.569 kasus
Selasa, 10 November 2020: 3.779 kasus
Total : 444.348 kasus

Jumlah Pasien Sembuh:
Senin, 9 November 2020: 372.266 kasus
Selasa, 10 November 2020: 3.475 kasus
Total : 375.741 kasus

Jumlah Pasien Meninggal Dunia:
Senin, 9 November 2020: 14.689 kasus
Selasa, 10 November 2020: 72 kasus
Total : 14.761 kasus

(TribunTernate.com)

Sumber: Tribun Ternate
Halaman 4 dari 4
Rekomendasi untuk Anda
Ikuti kami di

Berita Terkini

© 2025 TRIBUNnews.com Network,a subsidiary of KG Media.
All Right Reserved