Halmahera Timur
Halmahera Timur Berbenah Menuju Transformasi Kemajuan

Virus Corona

UPDATE Sebaran Virus Corona Indonesia Kamis (3/12/2020): Papua Catat 1.755 Kasus Baru, Jabar 1.648

Berikut update sebaran kasus virus corona (Covid-19) di Indonesia per Kamis (3/12/2020).

Editor: Sansul Sardi
covid19.go.id
Update corona Indonesia, Kamis (3/12/2020) 

TRIBUNTERNATE.COM - Berikut update sebaran kasus virus corona (Covid-19) di Indonesia per Kamis (3/12/2020).

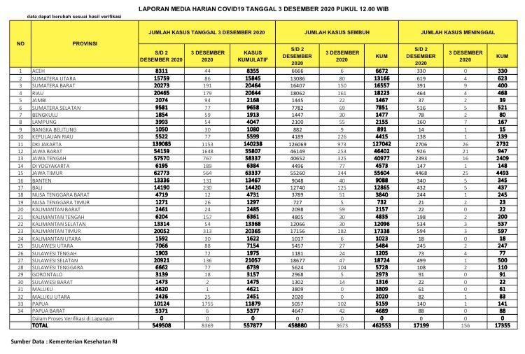
Hingga Kamis (3/12/2020) siang, tercatat ada 8.369 kasus baru.

Sehingga total kasus virus corona di Indonesia menjadi 557.877 orang.

Untuk jumlah pasien yang sembuh bertambah sebanyak 3.673 orang.

Total pasien sembuh yakni 462.553 orang.

Sedangkan 17.355 pasien positif virus corona dilaporkan meninggal dunia.

Jumlah tersebut bertambah 156 dari pengumuman di hari sebelumnya.

Penyebaran virus corona di Indonesia ini tersebar dalam 34 provinsi di Indonesia.

Baca juga: BREAKING NEWS: Tambah 8.369, Total Kasus Virus Corona Indonesia Jadi 557.877 per 3 Desember 2020

Baca juga: BREAKING NEWS: Menteri Ketenagakerjaan Ida Fauziyah Positif Covid-19, Begini Kondisinya

Per hari ini, Papua mencatat kasus baru terbanyak dengan jumlah penambahan 1.755, sehingga total ada 11.879 kasus.

Penambahan kasus terbanyak kedua hari ini ada di Jawa Barat

Di mana ada 1.648 kasus baru, dengan total ada 55.807 kasus terkonfirmasi positif.

Ada sebelas wilayah lain yang juga mencatat penambahan 100 lebih kasus di antaranya, Sumatera Barat, Riau, DKI Jakarta, Jawa Tengah, DI Yogyakarta, Jawa Timur, Banten, Bali, Kalimantan Tengah, Kalimantan Timur, dan Sulawesi Selatan.

Sementara itu, wilayah dengan jumlah pasien sembuh harian paling banyak per hari ini adalah DKI Jakarta dengan penambahan 973 kasus sembuh, disusul Jawa Timur dengan 344 pasien sembuh.

Berikut data sebaran virus corona di berbagai daerah di Indonesia per Kamis (3/12/2020):

1. DKI Jakarta
Kasus Baru: 1.153 orang
Sembuh: 127.042 orang 
Meninggal Dunia: 2.732 orang
Terkonfirmasi: 140.238 orang

2. Jawa Timur
Kasus Baru: 564 orang
Sembuh: 55.604 orang
Meninggal Dunia: 4.493 orang
Terkonfirmasi: 63.337 orang

3. Jawa Tengah
Kasus Baru: 767 orang
Sembuh: 40.977 orang
Meninggal Dunia: 2.409 orang
Terkonfirmasi: 58.337 orang

4. Jawa Barat
Kasus Baru: 1.648 orang
Sembuh: 46.402 orang 
Meninggal Dunia: 947 orang
Terkonfirmasi: 55.807 orang

5. Sulawesi Selatan
Kasus Baru: 136 orang
Sembuh: 18.724 orang 
Meninggal Dunia: 500 orang
Terkonfirmasi: 21.057 orang

6. Riau
Kasus Baru: 179 orang
Sembuh: 18.223 orang 
Meninggal Dunia: 468 orang
Terkonfirmasi: 20.644 orang

7. Sumatera Barat
Kasus Baru: 191 orang
Sembuh: 16.557 orang
Meninggal Dunia: 400 orang
Terkonfirmasi: 20.464 orang

8. Kalimantan Timur
Kasus Baru: 313 orang
Sembuh: 17.338 orang
Meninggal Dunia: 597 orang
Terkonfirmasi: 20.365 orang

9. Sumatera Utara
Kasus Baru: 86 orang
Sembuh: 13.166 orang 
Meninggal Dunia: 623 orang
Terkonfirmasi: 15.845 orang

10. Bali
Kasus Baru: 230 orang
Sembuh: 12.865 orang
Meninggal Dunia: 437 orang
Terkonfirmasi: 14.420 orang

11. Banten
Kasus Baru: 131 orang
Sembuh: 9.088 orang
Meninggal Dunia: 345 orang
Terkonfirmasi: 13.467 orang

12. Kalimantan Selatan
Kasus Baru: 54 orang
Sembuh: 12.096 orang
Meninggal Dunia: 537 orang
Terkonfirmasi: 13.368 orang

13. Papua
Kasus baru: 1.755 orang
Sembuh: 5.159 orang
Meninggal Dunia: 141 orang
Terkonfirmasi: 11.879 orang

14. Sumatera Selatan
Kasus Baru: 77 orang
Sembuh: 7.851 orang
Meninggal Dunia: 521 orang
Terkonfirmasi: 9.658 orang

15. Aceh
Kasus Baru: 44 orang
Sembuh: 6.672 orang 
Meninggal Dunia: 330 orang
Terkonfirmasi: 8.355 orang

Baca juga: Viral Foto Surat Hasil Tes Swab Rizieq Shihab Positif Covid-19, Begini Pengakuan Pimpinan FPI

Baca juga: Lonjakan Kasus Covid-19 di Jawa Tengah Jadi Sorotan Jokowi, Dinkes Jateng: Ada Dobel Data Banyak

16. Sulawesi Utara
Kasus Baru: 88 orang
Sembuh: 5.484 orang
Meninggal Dunia: 247 orang
Terkonfirmasi: 7.154 orang

17. Sulawesi Tenggara
Kasus baru: 77 orang
Sembuh: 5.728 orang
Meninggal Dunia: 110 orang
Terkonfirmasi: 6.739 orang

18. DI Yogyakarta
Kasus Baru: 189 orang 
Sembuh: 4.573 orang
Meninggal Dunia: 148 orang
Terkonfirmasi: 6.384 orang

19. Kalimantan Tengah
Kasus Baru: 157 orang
Sembuh: 4.835 orang
Meninggal Dunia: 200 orang
Terkonfirmasi: 6.361 orang

20. Kepulauan Riau
Kasus Baru: 77 orang
Sembuh: 4.415 orang
Meninggal Dunia: 139 orang
Terkonfirmasi: 5.599 orang

21. Papua Barat
Kasus Baru: 6 orang
Sembuh: 4.689 orang
Meninggal Dunia: 88 orang
Terkonfirmasi: 5.377 orang

22. Nusa Tenggara Barat
Kasus Baru: 12 orang
Sembuh: 3.840 orang 
Meninggal Dunia: 245 orang
Terkonfirmasi: 4.731 orang

23. Maluku
Kasus baru: 1 orang
Sembuh: 3.809 orang
Meninggal Dunia: 61 orang
Terkonfirmasi: 4.621 orang

24. Lampung
Kasus baru: 54 orang
Sembuh: 2.155 orang 
Meninggal Dunia: 167 orang
Terkonfirmasi: 4.047 orang

25. Gorontalo
Kasus baru: 18 orang
Sembuh: 2.973 orang
Meninggal Dunia: 91 orang
Terkonfirmasi: 3.157 orang

26. Kalimantan Barat
Kasus Baru: 24 orang
Sembuh: 2.157 orang 
Meninggal Dunia: 22 orang
Terkonfirmasi: 2.485 orang

27. Maluku Utara
Kasus Baru: 25 orang
Sembuh: 2.020 orang
Meninggal Dunia: 83 orang
Terkonfirmasi: 2.451 orang

28. Jambi
Kasus Baru: 94 orang
Sembuh: 1.467 orang
Meninggal Dunia: 39 orang
Terkonfirmasi: 2.168 orang

29. Bengkulu
Kasus Baru: 59 orang
Sembuh: 1.477 orang
Meninggal Dunia: 80 orang
Terkonfirmasi: 1.913 orang

30. Sulawesi Tengah
Kasus Baru: 72 orang
Sembuh: 1.205 orang
Meninggal Dunia: 77 orang
Terkonfirmasi: 1.975 orang

31. Sulawesi Barat
Kasus Baru: 2 orang
Sembuh: 1.316 orang
Meninggal Dunia: 22 orang
Terkonfirmasi: 1.475 orang

32. Kalimantan Utara
Kasus baru: 30 orang
Sembuh: 1.023 orang
Meninggal Dunia: 18 orang
Terkonfirmasi: 1.622 orang

33. Nusa Tenggara Timur
Kasus baru: 26 orang
Sembuh: 732 orang
Meninggal Dunia: 23 orang
Terkonfirmasi: 1.297 orang

34. Kepulauan Bangka Belitung
Kasus Baru: 30 orang
Sembuh: 891 orang
Meninggal Dunia: 15 orang
Terkonfirmasi: 1.080 orang.

Data kasus corona di Indonesia.
Data kasus corona di Indonesia. (Twitter @BNPB_Indonesia)

Kesimpulan data pasien virus corona (Covid-19) di Indonesia per Kamis (3/12/2020):

Jumlah Kasus:
Rabu, 2 Desember 2020: 549.508 kasus
Kamis, 3 Desember 2020: 8.369 kasus
Total : 557.877 kasus

Jumlah Pasien Sembuh:
Rabu, 2 Desember 2020: 458.880 kasus
Kamis, 3 Desember 2020: 3.673 kasus
Total : 462.553 kasus

Jumlah Pasien Meninggal Dunia:
Rabu, 2 Desember 2020: 17.199 kasus
Kamis, 3 Desember 2020: 156 kasus
Total : 17.355 kasus

(TribunTernate.com)

Sumber: Tribun Ternate
Rekomendasi untuk Anda
Ikuti kami di

Berita Terkini

© 2025 TRIBUNnews.com Network,a subsidiary of KG Media.
All Right Reserved